In General Which Forecasting Time Frame Best Identifies Seasonal Effects
According to the text in general which time frame best identifies seasonal effects. Medium term forecasts E.
A Comparison Of Statistical And Dynamical Downscaling Methods For Short Term Weather Forecasts In The Us Northeast Alessi 2021 Meteorological Applications Wiley Online Library
More than 3 months.
. 03-05 Know how to make time-series forecasts using moving averages and exponential smoothing. In general which forecasting time frame compensates most effectively for RANDOM VARIATION and SHORT TERM changes. One year or longer.
In general which forecasting time frame is best to detect general trends. Asked Aug 19 2019 in Business by Tokij0117. In general which forecasting time frame best identifies seasonal effects.
11 In general which forecasting time frame is best to. 3 Four weeks or less. In general which forecasting time frame best identifies seasonal effects.
Short - term forecasts Chapter - Chapter 03 16 Difficulty. See the answer See the answer done loading. Asked Aug 11 2019 in Business by theresa549.
In general which forecasting time frame is best to detect general trends. Long range forecasts D. In general which forecasting time frame is best to detect GENERAL TRENDS.
Long range forecasts D. In general which forecasting time frame best identifies seasonal effects. Medium term forecasts E.
TCO 5 In business forecasting what is usually considered a long-term time periodPoints. In general which forecasting time frame best identifies seasonal effects. Long range forecasts D.
TCO 5 In business forecasting what is usually considered a short-term time period. In general which forecasting time frame best identifies seasonal effects. TCO 5 In business forecasting what is usually considered a medium-term time period.
Long range forecasts D. In general which forecasting time frame best identifies seasonal effects. Long range forecasts D.
As discussed in class capacity available is. Medium term forecasts E. 3 Short-term forecasts Quick-time forecasts Long range forecasts Medium term forecasts Rapid change forecasts.
Medium-term forecasts are useful for capturing seasonal effects. Six months or longer. If a firm produced a product that was experiencing growth in demand the smoothing constant alpha reaction rate to differences used in an exponential smoothing forecasting model would tend to be which of.
TCO 5 Capacity planning that involves hiring layoffs some new tooling minor equipment purchases and subcontracting is considered which one of the following planning horizons. 3 Three months or longer Six months or longer One year or longer Two years or longer Ten years or longer Question 66. Medium term forecasts E.
In general which forecasting time frame best identifies seasonal effects. In general which forecasting time frame best identifies seasonal effects. 11 In general which forecasting time frame is best to detect general trends.
488 In general which forecasting time frame best identifies seasonal effects. Operations Management questions and answers. In general which forecasting time frame compensates most effectively for random variation and short-term changes.
In general which forecasting time frame best identifies seasonal effects. In general which forecasting time frame is best to detect general trends. Less than 3 months.
Ten years or longer. Which of the following forecasting methods can be used for short-term forecasting. In general which forecasting time frame best identifies seasonal effects.
3 Three months or longer. According to the text in general which forecasting time frame is best to detect general trends. TCO 5 In general which forecasting time frame best identifies seasonal effects.
TCO 5 In general which forecasting time frame best identifies seasonal effects. In general which forecasting time frame best identifies seasonal effects. Six months or more.
A Short-term forecasts B Quick-time forecasts C Long range forecasts D Medium term forecasts E Rapid change forecasts Answer. In general which forecasting time frame compensates most effectively for random variation and short term changes. Medium-term forecasts are useful for seasonal effects and long-term models detect general trends and are especially useful in identifying major turning points.
Two years or longer. Question 66TCO 5 In general which forecasting time frame best identifies seasonal effectsPoints. In general which forecasting time frame best identifies seasonal effects.
Rapid change forecasts 74. In general which forecasting time frame best identifies seasonal effects. 488 Medium term forecasts.
The most recent forecast. View Homework Help - Operations managememt_106 from COR1-GB 101 at New York University. Rapid change forecasts Medium-term forecasts are useful for capturing seasonal effects.
In general which forecasting time frame is best to detect general trends. Medium term forecasts E.
Eviews Help Exponential Smoothing
Pdf Forecasting Seasonal Tourism Demand Using A Multiseries Structural Time Series Method
Seasonal Forecast Skill Of Upper Ocean Heat Content In Coupled High Resolution Systems Springerlink
Asi Free Full Text Implementation Of Linear Programming And Decision Making Model For The Improvement Of Warehouse Utilization Html
Pdf Seasonal Time Series Forecasting Using Sarima And Holt Winter S Exponential Smoothing
Pdf Demand Forecasting A Comparison Between The Holt Winters Trend Analysis And Decomposition Models
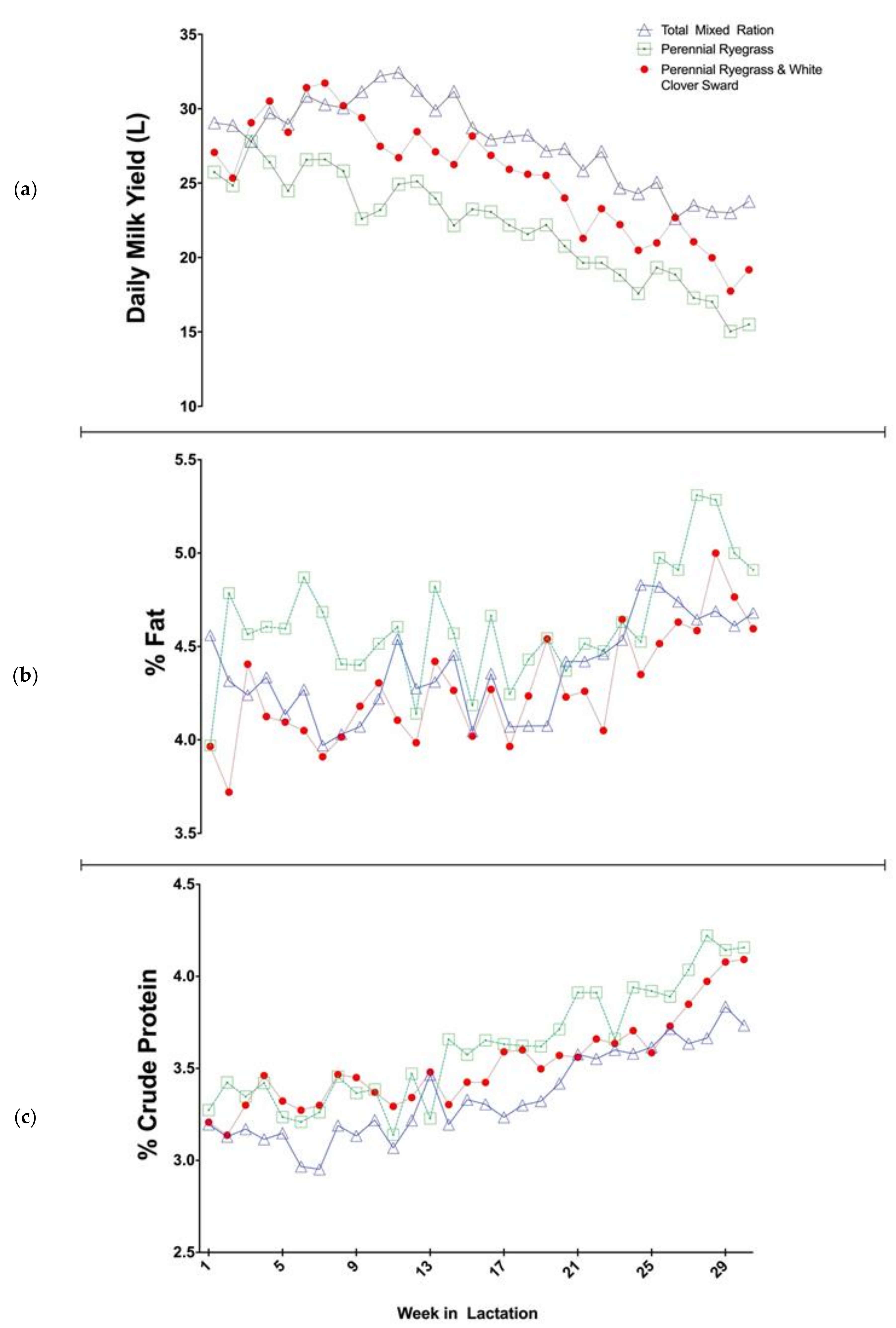
Foods Free Full Text The Impact Of Seasonality In Pasture Based Production Systems On Milk Composition And Functionality Html
Demand Planning Time Series Forecasting Models By A Tayyip Saka Medium
Eviews Help Exponential Smoothing
Asi Free Full Text Implementation Of Linear Programming And Decision Making Model For The Improvement Of Warehouse Utilization Html
Demand Planning Time Series Forecasting Models By A Tayyip Saka Medium
Demand Planning Time Series Forecasting Models By A Tayyip Saka Medium
P 488 In General Which Forecasting Time Frame Best Identifies Seasonal Effects A Course Hero
Sensors Free Full Text An Enterprise Time Series Forecasting System For Cloud Applications Using Transfer Learning Html
Demand Planning Time Series Forecasting Models By A Tayyip Saka Medium
The Tourist Demand Of The Hotel Chain Time Series For A Forecast Model
P 488 In General Which Forecasting Time Frame Best Identifies Seasonal Effects A Course Hero

Comments
Post a Comment